Škrob


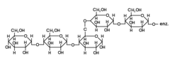
Škrob (lat. Amylum) je visokomolekularni ugljikohidrat, polisaharid s općom formulom (C6H10O5)n, izgrađen od međusobno povezanih molekula (jedinica) D-glukoze povezanih α-1,4-glikozidnom vezom.
Osobine
Fini je bijeli ili žućkastobijeli (rjeđe skroz žut) prah koji se sastoji od sitnih zrnaca. U hladnoj vodi, alkoholu i eteru škrob je netopljiv, u vrućoj vodi daje gustu koloidnu otopinu (škrobno ljepilo), koja ohlađena, daje hladetinastu masu. Škrobna zrnca u pojedinih biljaka imaju karakterističan oblik; promjer im iznosi od 2 do 150 nanometra a sastavljena su od velikog broja molekula koje se opet sastoje uglavnom od velikog broja grupa C6H12O6.
Pod djelovanjem kiselina i enzima škrob se može potpuno razgraditi u glukozu; međuprodukti su dekstrini i maltoza.
Ali škrob nije jedinstven spoj, već sadržava dva građom različita ugljikohidrata iste formule:
- amilozu (25%) i
- amilopektin (75%).
Amiloza (ravnolančana amiloza - 25... 1000 glukoznih jedinica) je nerazgranat polimer, u kojem su jedinice glukoze povezane α-1,4-glikozidnim vezama.
Amilopektin (razgranati amilopektin - ~3000 jedinica, na mjestu grananja α-1,6-glikozidnih veza) je razgranat, pa na tridesetak α-1,4-glikozidnih veza dolazi po jedna dodatna α-1,6-glikozidna veza. Amilopektin sadržava i nešto fosfatne kiseline.
Važnost i rasprostranjenost
Škrob je uz celulozu najvažniji produkt asimilacije u biljkama. Biljke sinteziraju škrob iz glukoze (fotosintezom) i pohranjuju ga u u velikim količinama u obliku škrobnih zrnaca, napose u sjemenkama, korijenu, gomoljima i plodovima (izuzetno i deblu (sago palme), kao pričuvni izvor energije, gdje on čini glavnu energetsku zalihu za rast nove biljke.
Ako biljci ustreba, škrob se pretvara u topljivu glukozu.
Škrob je (po količini) najvažnija hrana čovjeka i životinja te kao izvor ugljika za mikroorganizme, pa škrob čini više od polovice svih ugljikohidrata koji se unose hranom (kruh, tjestenina, riža, krumpir, sijerak, kukuruz i sl.). Njegova razgradnja počinje već u ustima; enzim iz sline (α-amilaza), razgrađuje amilozu i amilopektin.
Sirovina je za proizvodnju tzv. škrobnih i tekućih šećera (glukoze, maltoze, glukoznoga, maltoznoga i visokofruktoznoga sirupa), te drugih biotehnoloških proizvoda (etanol, organske kiseline (pomoću enzima), antibiotici, itd.).
Djelomično pročišćeni škrob upotrebljava se u prehrambenoj industriji, kao ljepilo, u tekstilnoj industriji za škrobljenje rublja (apretura, u analitičkoj kemiji kao reagens za jod itd..
Poznati su škrobovi od riže, pšenice, krumpira i kukuruza.
Na policama samoposluga dolazi najčešće kukuruzni škrob koji se koristi u kao zgušćivač u kulinarstvu.
U kozmetici je najrasprostranjeniji rižin škrob kao služi za proizvodnju pudera.
Dobivanje
Čisti izolirani škrob dobiva se iz krumpira ili iz žitarica ispiranjem vodom.
Škrobni sirup
Škrobni sirup je gusta tekuća bezbojna masa, koja se dobiva pri hidrolizi škroba. Sadržava 20-40% maltoze, 12-20% glukoze i do 35% dekstrina. Upotrebljava se u proizvodnji likera i slastica.
Izvor
- Hrvatska enciklopedija, Broj 10 (Sl-To), str. 429.. Za izdavača: Leksikografski zavod Miroslav Krleža, Zagreb 2000.g. ISBN 978-953-6036-40-0