Stehiometrija

Izvor: Hrvatska internetska enciklopedija
Inačica 128441 od 15. rujan 2021. u 13:02 koju je unio WikiSysop (razgovor | doprinosi) (Bot: Automatski unos stranica)
(razl) ←Starija inačica | vidi trenutačnu inačicu (razl) | Novija inačica→ (razl)
Prijeđi na navigaciju Prijeđi na pretraživanje

Stehiometrija (grč. "stoicheion" element i "metrija" mjerenje) je primijenjena matematika u kemiji kojom računamo omjere brojeva atoma pojedinih elemenata u kemijskom spoju odnosno omjere množine spojeva u jednadžbi kemijske reakcije.[1]

Stehiometrija je primjena matematike u kemiji kojom možemo određivati molekularne formule kemijskih spojeva na temelju njihove kvantitativne analize, postavljati jednadžbi kemijskih reakcija i izračunavati količine tvari koje sudjeluju, odnosno nastaju u kemijskim reakcijama.[2]

Stehiometrija (grč.), grana kemija koja proučava kvantitativne odnose kem. spojeva (mase, volumene, množine) u procesima u kojima reaktanti prelaze u produkte. U stehiometrijske zakone mogu se ubrojiti i plinski zakoni, kao i zakoni elektrokemije i termodinamike.[3]

Temelji stehiometrije

Stehiometrija se temelji na prirodnim zakonima kemije i fizike:[4]

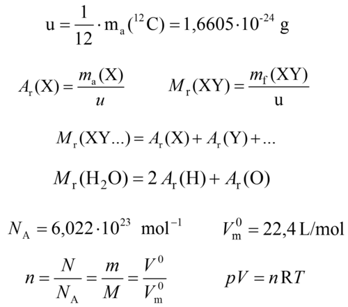
Najčešće fizikalne veličine (bez osnovnih), mjerne jedinice i matematički izrazi u stehiometriji [5]

Jednadžbe
Fizikalna veličina simbol mjerna jedinica
relativna atomska masa bez jedinice
relativna molekulska masa bez jedinice
masa atoma
masa molekule
množina
množinska koncentracija
molna masa
molni volumen
brojnost bez jedinice
Avogadrova konstanta
atomska jedinica mase
plinska konstanta

Primjena stehiometrije - sastav smjesa tvari

Pod smjese tvari najčešće podrazumijevamo otopine koje su smjese otopljene tvari i otapala. Sastav smjesa možemo izražavati (definirati) omjerima, udjelima i koncentracijama.

  • Omjer dviju vrijednosti neke veličine (mase, volumena ili množine) dviju sastojaka neke smjese (A i B) pokazuje koliko puta jedna vrijednost sadrži drugu. Omjer vrijednosti A i B piše se kao  A : B. Omjer nema mjernu jedinicu.
  • Udio jedne vrijednosti neke veličine (mase, volumena ili množine) u zbroju svih vrijednosti te veličine u smjesi (smjesa=100%) je omjer vrijednosti te veličine i zbroja svih vrijednosti veličina cjelokupne smjese. Udio vrijednosti A u vrijednosti smjese AB pišemo:

Udio vrijednosti A u smjesi AB nema mjernu jedinicu, to je broj < 1 i izražava se kao postotak (%).

  • Koncentraciju neke tvari dobivamo dijeleći njezinu količinu (masu m, volumen V ili množinu n) sa ukupnim volumenom u kojem se ta tvar nalazi:

Povijesna crtica

Jeremias Benjamin Richter (1762-1807) prvi je postavio načela stehiometrije. 1792. on je napisao:

Stehiometrija je znanost o mjerenju kvantitativnih masenih ili volumnih omjera kemijskih elemenata u spojevima i kemijskim reakcijama.[6]

Izvori

  1. [1] Institut za Hrvatski Jezik i Jezikoslovlje, Struna: Stehiometrija
  2. [2] Hrvatska enciklopedija, Stehiometrija
  3. [3] LZMK: Proleksis enciklopedija, Stehiometrija
  4. Sikirica, Korpar, Čolig: Kemija s vježbama 1, Školska knjiga, Zagreb, 2000., ISBN 953-0-20540-6, str. 47-50
  5. Habuš, Tomašić, Liber: Opća kemija 1: Udžbenik kemije za prvi razred gimnazije, 1. izd., Profil, Zagreb, 2014., ISBN 978-953-12-1434-6, str. 44-45, 132-142
  6. [4] Chemteam: Stoichiometry