Acetal
Ketal je funkcionalna skupina opće formule opće formule R2C(OH)OR’ (R’ ≠ H), gdje obje skupine R' su organski fragmenti. Središnji atom ugljika vezan je četirima vezama na nj, te je stoga zasićen i tetrahedralne je geometrije.
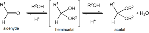
Nastaju adicijom alkohola na aldehide. Pojam se prvo odnosio na spojeve izvedene iz aldehida (jedan R = H). Značenje pojma poslije je prošireno radi obuhvaćanja spojeva koji su izvedeni iz ketona (nijedan R = H ).[1]
Kod miješanih acetala R’ skupine su različite. Proces nastajanja acetala je reverzibilan. U kiseloj sredini acetali mogu hidrolizom doći do aldehida, a ketali do ketona.[1]
Jedno je vrijeme naziv ketala bio izbačen iz upotrebe, a danas je vraćen kao podklasa acetala. Vrsta acetala je celuloza.

Izvori
- ↑ 1,0 1,1 Generalić, Eni. "Acetal." Englesko-hrvatski kemijski rječnik & glosar. 31 July 2014. KTF-Split. 11. veljače 2015. <http://glossary.periodni.com>.