Fosfodiesterska veza

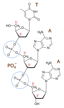
Fosfodiesterska veza (šećerno-fosfatna veza)[1] nastaje kad točno dvije hidroksilne skupine u fosfornoj kiselini reagiraju s hidroksilnim skupinama na drugim molekulama čime nastanu dvije esterske veze.[2] U živoj stanici javlja se kad se kovalentnom vezom povežu dva nukleotida, na način da se hidroksilna skupina s 3' ugljikovog atoma prvog šećera veže s fosfatnom skupinom drugog nukleotida koji je na 5' ugljikovom atomu drugog šećera.[3] Time deoksiriboze povezane fosfodiesterskim vezama tvore dva polinukleotidna lanca koji čine molekulu DNK.[1]
Nastaje za vrijeme replikacija DNK.[4] Tad se razmotava dvostruka uzvojnica DNK i poštujući načelo komplementarnosti, na svakom se lancu gradi novi polinukleotidni lanac i tako nastaju dvije molekule DNK koje su istovjetne majčinskoj molekuli.[4] Među brojnim enzimima i bjelančevinama koji djeluju u procesu udvostručavanja, ključnu ulogu ima enzim DNK polimeraza koja katalizira polimeriziranje deoksiribonukleotida iz deoksiribonukleozid trifosfata (koji je supstrat[5]) na temelju komplementarnosti s lancem DNK koji služi kao kalup.[4] U ovom procesu nastaje fosfodiesterska veza i kao nusproizvod javlja se anorganski pirofosfat.[4]
Izvori
- ↑ 1,0 1,1 Bakula, Krešimir. DNA i sinteza proteina, Medicinska škola u Rijeci - Maja Šmurinić
- ↑ Phosphodiester bond. School of BioMedical Sciences Wiki 0.
- ↑ Vježba 6 - Deoksiribonukleinska kiselina, Praktikum iz Biologije I, PBF, str. 102
- ↑ 4,0 4,1 4,2 4,3 • Parametar
accessdatenije dopušten u klasiweb - ↑ • Parametar
accessdatenije dopušten u klasiweb