Lista susjedstva: razlika između inačica
Prijeđi na navigaciju
Prijeđi na pretraživanje
m Suradnik10 premješta stranicu Adjacency list na Lista susjedstva |
Nema sažetka uređivanja |
||
| Nisu prikazane 3 međuinačice | |||
| Redak 1: | Redak 1: | ||
[[Datoteka:Adjacency list 1.svg|mini|250px|Lista susjedstva]] | [[Datoteka:Adjacency list 1.svg|mini|250px|Lista susjedstva]] | ||
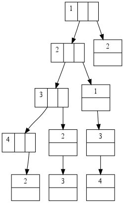
'''Lista susjedstva''' (eng. ''adjacency list''), [[podatkovna struktura]]. Čine ju zbirke lista pri čemu je svaka lista povezana s određenim [[Čvor (teorija grafova)|čvorom]] i sadrži sve njegove susjedne čvorove. Učinkovitom je pri sprovedbi tipičnih [[upit (računalstvo)|upita]] nad strukturom [[graf (teorija grafova)|grafa]] koji uključuju prolazak grafom. U slučaju kad naiđe na upit u kojemu [[algoritam]] mora odrediti povezanost čvorova danom vezom, performanse liste susjedstva opadaju.<ref>Luka Košćak: [https://repozitorij.foi.unizg.hr/object/foi:6114/FILE0 ''Modeliranje podataka u sustavu za upravljanje bazama podataka allegrograph '']. Fakultet organizacije i informatike Varaždin. Varaždin, 2020., str. 10.{{odlična}}</ref> Pojam je iz [[teorija grafova|teorije grafova]] i [[računalstvo|računalstva]]. | '''Lista susjedstva''' (eng. ''[[adjacency list]]''), [[podatkovna struktura]]. Čine ju zbirke [[Lista (računarstvo)|lista]] pri čemu je svaka lista povezana s određenim [[Čvor (teorija grafova)|čvorom]] i sadrži sve njegove susjedne čvorove. Učinkovitom je pri sprovedbi tipičnih [[upit (računalstvo)|upita]] nad strukturom [[graf (teorija grafova)|grafa]] koji uključuju prolazak grafom. U slučaju kad naiđe na upit u kojemu [[algoritam]] mora odrediti povezanost čvorova danom vezom, performanse liste susjedstva opadaju.<ref>Luka Košćak: [https://repozitorij.foi.unizg.hr/object/foi:6114/FILE0 ''Modeliranje podataka u sustavu za upravljanje bazama podataka allegrograph '']. Fakultet organizacije i informatike Varaždin. Varaždin, 2020., str. 10.{{odlična}}</ref> Pojam je iz [[teorija grafova|teorije grafova]] i [[računalstvo|računalstva]]. | ||
Povezani pojam: [[Susjednost (teorija grafova)]]. | |||
== Izvori == | == Izvori == | ||
{{izvori}} | {{izvori}} | ||
[[Kategorija: | [[Kategorija:Teorija grafova]] | ||
[[Kategorija:Računalstvo]] | |||
Posljednja izmjena od 5. siječanj 2026. u 17:38

Lista susjedstva (eng. adjacency list), podatkovna struktura. Čine ju zbirke lista pri čemu je svaka lista povezana s određenim čvorom i sadrži sve njegove susjedne čvorove. Učinkovitom je pri sprovedbi tipičnih upita nad strukturom grafa koji uključuju prolazak grafom. U slučaju kad naiđe na upit u kojemu algoritam mora odrediti povezanost čvorova danom vezom, performanse liste susjedstva opadaju.[1] Pojam je iz teorije grafova i računalstva.
Povezani pojam: Susjednost (teorija grafova).
Izvori[uredi]
- ↑ Luka Košćak: Modeliranje podataka u sustavu za upravljanje bazama podataka allegrograph . Fakultet organizacije i informatike Varaždin. Varaždin, 2020., str. 10.